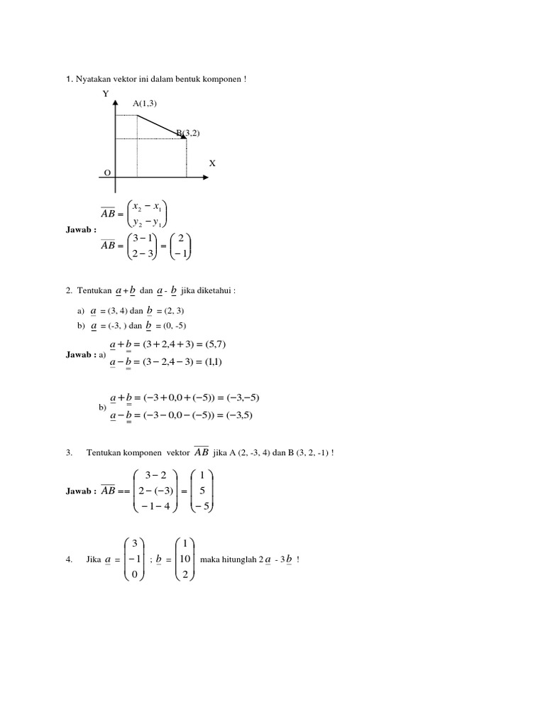
Komponen Vektor

Tetapi jika kita telah mengetahui komponen a x dan a y serta sudut o maka besar vektor a dapat diperoleh dengan menggunakan teorema pythagoras. Pada proyeksi vektor veca pada vektor vecb. Komponen komponen vektor tersebut terhadap sumbu x dan sumbu y adalah.
komponen vektor

lazy


Komponen Komponen Vektor Dari Gambar Tersebut Adalah Brainly Co Id
brainly.co.id
lazy


Penguraian Vektor Menjadi Komponen Komponen Vektor Anashir Learning
www.anashir.com
lazy


Komponen Tegak Lurus Suatu Gaya
studylibid.com
lazy


Journote Komponen Vektor
journote.blogspot.com
lazy


Komponen Vektor Merupakan Proyeksi Vektor Pada Sumbu Sistem Koordinat Ppt Download
slideplayer.info
lazy


Komponen Vektor Merupakan Proyeksi Vektor Pada Sumbu Sistem Koordinat Ppt Download
slideplayer.info

Tentukan komponen vektor f pada sumbu x f x dan sumbu y f y.

Komponen vektor. Jadi komponen vektor merupakan sebuah proyeksi terhadap sumbu sumbu kartesius yaitu sumbu x y ataupun sumbu z yang ada didekatnya. Langkah pertama yang perlu kamu lakukan untuk menyelesaikan soal di atas adalah mengetahui sumbu mana yang letaknya paling dekat dengan vektor aberdasarkan gambar di atas besar sudut yang terbentuk antara vektor a dengan sumbu x adalah 300. Kedua komponen vektor tersebut memiliki resultan yang memiliki besar dan arah.

Dimana a adalah besar dari vektor a sehingga komponen komponen vektor a dapat diperoleh. Contoh sebuah vektor berada dalam koordinat kartesian pada gambar di atas dapat diuraikan menjadi dua buah vektor yang terletak pada sumbu x dan y seperti pada gambar berikut ini. Pelajari contoh soal menentukan komponen vektor lalu kerjakan soal menentukan komponen vektor.

Vektor gaya f 20 newton membentuk sudut 30 o terhadap sumbu x positif. Operasi penjumlahan vektor merupakan mencari sebuah vektor yang komponen komponennya itu adalah jumlah dari kedua komponen komponen vektor pembentuknya sederhanya berarti mencari resultan dari 2 vektor. Komponen vektor yang dimaksud ini bukan berarti komponen komponen pada robot loh.

R a b c n dst. F x f cos 30 o 20 cos 30 o 20 053 103 newton. Blog koma setelah mempelajari materi proyeksi ortogonal vektor pada vektor pada artikel ini kita lanjutkan dengan pembahasan materi komponen vektor yang tegak lurus terhadap vektormateri komponen vektor yang tegak lurus terhadap vektor ini sangat terkait dengan proyeksi vektor karena pengerjaannya melibatkan bentuk proyeksi vektor.

Penguraian suatu vektor adalah kebalikan dari penjumlahan dua vektor. Pada tahun 1827 mobius mempublikasikan der barycentrische calcul sebuah buku geometri yang mengkaji transformasi garis dan irisan kerucutfitur baru dalam hasil karya ini adalah pengenalan koordinat barycentricdiberikan sembarang segitiga abc maka jika garis berat a b dan c berturut turut dilukis pada a b dan c maka dapat ditentukan sebuah titik p yaitu titik berat. Kita coba kerjakan bersama sama ya squad.

A x a cos o a y a sin o. Cara menentukan komponen vektor dalam analisis suatu vektor terdapat dua komponen utama yang harus kita ketahui yaitu komponen horizontal sumbu x dan komponen vertikal sumbu y. Vektor segaris untuk vektor segaris resultannya antara lain ialah.

Besaran a x dan a y pada gambar di atas dinamakan komponen vektor. Atau bayangan dari vektor di suatu sumbu kartesius. Definisi prinsip pengertian gambar contoh dan penjelasan komponen vektor fisika dengan contoh soal latihan soal dan video pembahasan soal lengkap.

lazy


Https Encrypted Tbn0 Gstatic Com Images Q Tbn 3aand9gcr 2vwrj9u0dqvh8hxkouyf0vj0u9 Fq94lhch7fchsijdhjhfb Usqp Cau
encrypted-tbn0.gstatic.com
lazy


Kumpulan Ilmu Pengetahuan Perkalian Vektor Dan Skalar Menggunakan Komponen Vektor Satuan
senyawa-kimia.blogspot.com
lazy


Cara Menghitung Resultan Vektor 3 Arah Idschool
idschool.net
lazy


Https Encrypted Tbn0 Gstatic Com Images Q Tbn 3aand9gcteeornvdthjcyaegwnfhq2hihk X8qz64zkf4hsl4kcgvry7to Usqp Cau
encrypted-tbn0.gstatic.com
lazy


Konsep Dan Contoh Soal Besaran Vektor Resultan Vektor Fisika Sma Kelas 10 Lakonfisika Net
www.lakonfisika.net
lazy


Cara Menguraikan Vektor Menjadi Vektor Komponen
mafia.mafiaol.com
lazy


Komponen Vektor
fisikasma.xyz
lazy


1vektor Gaya F 20 Newtonmembentuk Sudut 30 Terhadap Sumbu X Positif Komponen Vektor F Padasumbu X Brainly Co Id
brainly.co.id
lazy


Komponen Komponen Vektor Dari Gambar Vektor Berikut Adalah A Fx 6 N Dan Fy 8 N B Fx 8 N Brainly Co Id
brainly.co.id
lazy


Https Encrypted Tbn0 Gstatic Com Images Q Tbn 3aand9gcsi1ved4xtdna Zeuwt Sz8rmrhccyuxgs2sq Usqp Cau
lazy


Edodije Metode Analisis Vektor
namaitutidakpenting.blogspot.com
lazy


Modul Rumus Soal Besaran Vektor Skalar Wardaya College
www.wardayacollege.com
lazy


Modul Vektor
www.slideshare.net
lazy


Prolog Materi Pengurangan Vektor
www.zenius.net
lazy


Cara Mencari Komponen Vektor Beserta Rumus Dan Contoh Soalnya
cerdika.com
lazy


Resultan Vektor Dan Arah Vektor Dari Tiga Vektor Gaya Komponen Vektor Terhadap Sumbu X Dan Y Youtube
www.youtube.com
lazy


Vektor Pengertian Rumus Operasi Vektor Di R2 R3 Contoh Soal
www.studiobelajar.com
lazy


Gambar Dan Tuliskan Komponen Vektor Yang Titik Pangkal Dan Ujung Nya A 3 4 Dan B 7 7 Brainly Co Id
brainly.co.id
lazy


Komponen Vektor
id.scribd.com
lazy


Perhatikan Gambar Berikut Ini Berdasarkan Gambar Di Atas Maka Besar Komponen Vektor F Pada Arah Sumbu X Mas Dayat
www.masdayat.net
lazy


Contoh Soal Menentukan Komponen Vektor Gurumuda Net
gurumuda.net
lazy


Komponen Vektor Gaya Pada Sumbu X Dan Sumbu Y Bernilai 3 1 73 Brainly Co Id
brainly.co.id
lazy


Vektor Satuan Pengertian Notasi Penjumlahan Pengurangan Contoh Soal Dan Pembahasan Fisikabc
www.fisikabc.com
lazy


Vektor Pengertian Rumus Operasi Vektor Di R2 R3 Contoh Soal
www.studiobelajar.com
lazy


Vektor Komponen Penjumlahan Pengurangan Dan Resultan
www.fisikabinjai.xyz
lazy


Menguraikan Komponen Vektor Siswapedia
www.siswapedia.com
lazy


Sebuah Vektor Kecepatan V 12 M S Dengan Sudut 30 Terhadap Sumbu X Berapa Besar Komponen Vektor V Tersebut Pada Sumbu X Dan Sumbu Y Ilmumateri Com
www.ilmumateri.com
lazy


Vektor Dan Komponen Komponen Vektor Copy Pages 1 12 Flip Pdf Download Fliphtml5
fliphtml5.com
lazy


Prolog Materi Definisi Prinsip Pengertian Komponen Vektor Zenius Net
www.zenius.net
lazy


Cara Mudah Menguraikan Vektor Menjadi Komponennya Fisikabc
www.fisikabc.com
lazy


Vektor Pengertian Rumus Operasi Vektor Di R2 R3 Contoh Soal
www.studiobelajar.com
lazy


Cara Menghitung Resultan Vektor 3 Arah Idschool
idschool.net
lazy


Komponen Vektor Fisika Zone
fisikazone.com
lazy


Vektor Pengertian Rumus Operasi Vektor Di R2 R3 Contoh Soal
www.studiobelajar.com
lazy


Sebuah Vektor Panjangnya 20 Cm Dan Membentuk Sudut 300 Terhadap Sumbu X Positif Mas Dayat
www.masdayat.net
lazy


Hasil Kali Titik Dua Vektor Pendidikan Matematika Laman 4
yos3prens.wordpress.com
lazy


Penguraian Vektor Cara Mencari Komponen Vektor Ittekcno
ittekcno.blogspot.com
lazy


Fisika Sma Komponen Vektor
asyik-fisika.blogspot.com
lazy


Komponen Vektor
fisikasma.xyz
lazy


Cara Menguraikan Dan Menentukan Arah Sebuah Vektor
mafia.mafiaol.com
lazy


Cara Mencari Komponen Vektor Beserta Rumus Dan Contoh Soalnya
cerdika.com
lazy


Bentuk Komponen Vektor Pendidikan Matematika
yos3prens.wordpress.com
lazy


Komponen Vektor Merupakan Proyeksi Vektor Pada Sumbu Sistem Koordinat Ppt Download
slideplayer.info
lazy


Vektor Fisika Pengertian Rumus Operasi Penjumlahan Pengurangan
bacaboy.com
lazy


Vektor Komponen Penjumlahan Pengurangan Dan Resultan
www.fisikabinjai.xyz
lazy


Besaran Vektor
passinggrade.co.id
lazy


Contoh Soal Menjumlahkan Vektor Melalui Komponen Vektor Siswapedia
www.siswapedia.com
lazy


Penguraian Vektor Menjadi Komponen Komponen Vektor Anashir Learning
www.anashir.com
lazy


Tentukan Besar Komponen Komponen Vektor Dari Sebuah Vektor Gaya Sebesar 120 N Pada Arah 60 Mas Dayat
www.masdayat.net
lazy


Vektor Materi Vektor Nol Operasi Vektor Komponen Vektor Ppt Download
slideplayer.info
lazy


Icgoukbuibihrm
lazy


Cara Mencari Komponen Vektor Beserta Rumus Dan Contoh Soalnya
cerdika.com
lazy


Fisika Kelas 10 Cara Mencari Komponen Vektor
blog.ruangguru.com
lazy


Komponen Vektor Merupakan Proyeksi Vektor Pada Sumbu Sistem Koordinat Ppt Download
slideplayer.info
lazy


Contoh Soal Menjumlahkan Vektor Melalui Komponen Vektor Cute766
cute766.info
lazy


Perhatikan Gambar Berikut Tentukan Komponen Komponen Vektor Tsb Terhadap Sumbu X Dan Y Brainly Co Id
brainly.co.id
lazy


Komponen Vektor Ppt
id.scribd.com
lazy


Vektor 1 3 Cara Menuliskan Komponen Vektor Youtube
www.youtube.com
lazy


Penjumlahan Vektor Gurumuda Net
gurumuda.net
lazy


Fisika Kelas 10 Cara Mencari Komponen Vektor
blog.ruangguru.com
lazy


Resultan Vektor Dan Arah Vektor Dari Tiga Vektor Gaya Komponen Vektor Menggunakan Tabel Youtube
www.youtube.com
lazy


Vektor Komponen Penguraian Vektor Youtube
www.youtube.com
lazy


Pdf Pembahasan Soal Vektor Fadillah Fenika Academia Edu
www.academia.edu
lazy


Fisika Fikiran Siap Kacau Penting Isi Blog Setelah Sosialize Geser Kebawah Yaaa Menghitung Vektor Komponen Sumbu X Dan Y Beserta Tabel Sin Cos Tan
tanyajawabsoalfisikasmpsmagratis.blogspot.com
lazy


Komponen Vektor Gaya Pada Sumbu X Dan Y Beserta Dalam Vektor Satuan Youtube
www.youtube.com
lazy


Komponen Vektor Yang Tegak Lurus Terhadap Vektor Konsep Matematika Koma
www.konsep-matematika.com
lazy


Materi Vektor Dalam Aplikasi Teknik Sipil
www.slideshare.net
lazy


Web Viewsebuah Vektor Gaya F 20 3 N Membentuk Sudut 600 Terhadap Sumbu X Besar Komponen Vektor
pdfslide.tips
lazy


Vektor Pengertian Rumus Operasi Vektor Di R2 R3 Contoh Soal
www.studiobelajar.com
lazy


Penguraian Vektor Cara Mencari Komponen Vektor Ittekcno
ittekcno.blogspot.com
lazy


Komponen Vektor Merupakan Proyeksi Vektor Pada Sumbu Sistem Koordinat Ppt Download
slideplayer.info
lazy


Hitung Besar Komponen Vektor Ax Dan Ay Cos 30o 72 V3 A 10 Cm Dan 10 Cmb 10 Cm Dan 10 V3 Brainly Co Id
brainly.co.id
lazy


Fisika Kelas 10 Cara Mencari Komponen Vektor
blog.ruangguru.com
lazy


Fisika Kelas 10 Cara Mencari Komponen Vektor
blog.ruangguru.com
lazy


Fisika Sma Komponen Vektor
asyik-fisika.blogspot.com
lazy


Komponen Vektor Blog Guru Fisika
fisikarudy.wordpress.com
lazy


Bentuk Komponen Vektor Pendidikan Matematika
yos3prens.wordpress.com
lazy


Vektor Vektor Posisi Vektor Satuan Dan Komponen Vektor
fisikazone.com
lazy


Komponen Vektor By Nugraha Aji
prezi.com
lazy


Cara Mencari Komponen Vektor
zeromedia.co.id
lazy


Komponen Vektor Merupakan Proyeksi Vektor Pada Sumbu Sistem Koordinat Ppt Download
slideplayer.info
lazy


Besaran Vektor Gajahfisika Net
studylibid.com
lazy


Komponen Komponen Vektor Dari Gambar Vektor Berikut Adalah Brainly Co Id
brainly.co.id
lazy


Fisika Kelas 10 Cara Mencari Komponen Vektor
blog.ruangguru.com
lazy


Tentukan Komponen Komponen Vektor Tersebut Terhadap Sumbu X Dan Y Brainly Co Id
brainly.co.id
lazy


Fisika Kelas 10 Cara Mencari Komponen Vektor
blog.ruangguru.com
lazy


Tutorial Fisika Komponen Vektor Youtube
www.youtube.com
lazy


Vektor Matematika Pengertian Oprasi Rumus Contoh Perkalian
www.dosenpendidikan.co.id
lazy


Penguraian Vektor Cara Mencari Komponen Vektor Ittekcno
ittekcno.blogspot.com
lazy


Lembar Praktikum Komponen Vektor
id.scribd.com
lazy


Pangkas Habis Fisika Komponen Vektor Dan Vektor Satuan Untuk Memudahkan Operasi Vektor Dari Suatu Besaran Fisika B Operasi Vektor B 1 Penjumlahan Vektor Pdf Document
fdokumen.com
lazy


Komponen Vektor
www.slideshare.net
lazy


Cara Mencari Komponen Vektor Beserta Rumus Dan Contoh Soalnya
cerdika.com
lazy


Contoh Vektor Komponen
id.scribd.com
lazy


Bab 1 Vektor 1 Vektor Gaya 3 Dua Buah Komponen Vektor Gaya F 1 Dan F 2 Yang Menarik Pin Pada Gambar
pdfslide.tips
lazy


Vektor Metode Poligon Jajaran Genjang Komponen Vektor Fisika Kelas 10 Eps 01 Youtube
www.youtube.com

Random Posts